(吃瓜网
张学海)近日,吃瓜网
大气科学系孔少飞教授团队与国内外多位科研人员的合作研究成果—Substantial reductions in ambient PAHs pollution and lives saved as a co-benefit of effective long-term PM2.5 pollution controls 发表在大气科学和环境科学领域国际著名期刊《Environmental International》上(IF=7.088),孔少飞教授为第一作者和通讯作者。
自上世纪80年代至今,中国已经为解决空气污染问题努力了30多年,投入巨大的人力物力财力。2012年随着新的环境空气质量标准修订以及2013年国务院大气污染防治行动计划的发布,我国大气PM2.5的防控进入到新的阶段。该计划实施4年多来,严格的污染控制措施使得重点区域PM2.5浓度显著降低,但对于PM2.5中载带的有毒有害物质(如PAHs),其消减效果尚没有深入研究。这些控制措施对于颗粒物上PAHs浓度的消减效果是否与PM2.5一致,其健康风险收益如何,在评估PAHs的消减程度时如何识别气象条件、大气化学反应和源变化的影响成为亟待回答的科学问题。
本文以长三角特大城市南京为例,开展了横跨4年,涵盖江苏省和南京市大气污染控制措施执行(2015年4月)前后两个明显时段(第一阶段2013年3月-2014年2月;第二阶段2015年11月-2016年6月)的大气PM2.5中PAHs的观测,结合同期气象数据、常规环境空气质量数据、受体模型、后轨迹和源区贡献函数、风险评价模型等分析和模拟,系统回答了大气污染控制措施实施4年来,南京大气PM2.5和载带PAHs的削减程度;研究了气象参数、大气光化学反应和源变化对PAHs浓度降低的影响程度;定量解析了4类PAHs主要源在控制措施前后两个阶段的变化,结合后轨迹和源区贡献函数,分析了控制措施前后影响南京大气中PAHs的主要源区的变化;评估了PAHs的健康风险削减程度,并结合PMF模型,定量回答了影响PAHs风险值的源类变化。
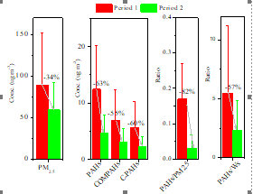
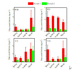
研究发现,PM2.5中PAHs的削减程度(-63%)高于PM2.5本身(-34%)(图1),主要在于污染控制措施对于PM2.5和PAHs不同源的消减程度存在差异。两个阶段大气环流背景(图2)、近地层气象条件存在明显的相似,且两个阶段PAHs均存在明显的老化(图3),上述因素对于PAHs的冬夏季节变化影响显著,但不足以解释PAHs的年际变化。PAHs的浓度降低主要在于源的变化,尤其是油品挥发和燃烧、机动车尾气排放和生物质燃烧的贡献降低明显,但煤燃烧贡献降低较少(图4)。从源区贡献的分布来看(图5),华北平原冬季民用煤燃烧的贡献不容忽视,这也提供了该区域冬季民用燃煤排放污染物可以长距离传输影响长三角地区的直接证据。同时,PAHs的健康风险降低了61%,主要原因在于油品挥发和燃烧的PAHs风险降低(图6)。
本研究从人体健康收益的角度为评估污染控制措施的效果(不仅仅局限于常规污染物)提供了基础数据和新的视角,也间接突出了区域大气污染联防联控的重要性。

图1 两个阶段大气PM2.5和PAHs的变化
图2 两个阶段四个季节的气象场对比

图3 两个阶段大气PM2.5的老化(左图)及与O3和温度的关系(右图)

图4 两个阶段源贡献的四季变化(WB-生物质燃烧;PO-油品挥发和燃烧;CC-燃煤;VE-机动车尾气)
Period 1 Period 2
图5 两个阶段4类源的浓度轨迹分析

图6 两个阶段的健康风险和源贡献变化
论文信息:Shaofei Kong*, Qin Yan, Huang Zheng, Haibiao Liu, Wei Wang, Shurui Zheng, Guowei Yang, Mingming Zheng, Jian Wu, Shihua Qi, Guofeng Shen*, Lili Tang, Yan Yin, Tianliang Zhao, Huan Yu, Dantong Liu, Delong Zhao, Tao Zhang, Jujun Ruan, Mingzhi Huang. Environment International, 2018, 114: 266-279
全文链接://www.sciencedirect.com/science/article/pii/S0160412017319451